- 輸入整流濾波器設計
- 鉗位保護電路設計
- 選擇輸入整流橋
- 選擇輸入濾波電容器
- 設計漏極鉗位保護電路
本文介紹輸入整流濾波器及鉗位保護電路的設計,包括輸入整流橋的選擇、輸入濾波電容器的選擇、漏極鉗位保護電路的設計等內容,講解圖文并茂且附實例計算。
1 輸入整流橋的選擇
1)整流橋的導通時間與選通特性
50Hz交流電壓經過全波整流后變成脈動直流電壓u1,再通過輸入濾波電容得到直流高壓U1。在理想情況下,整流橋的導通角本應為180°(導通范圍是從 0°~180°),但由于濾波電容器C的作用,僅在接近交流峰值電壓處的很短時間內,才有輸入電流流經過整流橋對C充電。50Hz交流電的半周期為 10ms,整流橋的導通時間tC≈3ms,其導通角僅為54°(導通范圍是36°~90°)。因此,整流橋實際通過的是窄脈沖電流。橋式整流濾波電路的原 理如圖1(a)所示,整流濾波電壓及整流電流的波形分別如圖l(b)和(c)所示。
最后總結幾點:
(1)整流橋的上述特性可等效成對應于輸入電壓頻率的占空比大約為30%。
(2)整流二極管的一次導通過程,可視為一個“選通脈沖”,其脈沖重復頻率就等于交流電網的頻率(50Hz)。
(3)為降低開關電源中500kHz以下的傳導噪聲,有時用兩只普通硅整流管(例如1N4007) 與兩只快恢復二極管(如FR106)組成整流橋,FRl06的反向恢復時間trr≈250ns。

2)整流橋的參數選擇
隔離式開關電源一般采用由整流管構成的整流橋,亦可直接選用成品整流橋,完成橋式整流。全波橋式整流器簡稱硅整流橋,它是將四只硅整流管接成橋路形式,再 用塑料封裝而成的半導體器件。它具有體積小、使用方便、各整流管的參數一致性好等優點,可廣泛用于開關電源的整流電路。硅整流橋有4個引出端,其中交流輸 入端、直流輸出端各兩個。
硅整流橋的最大整流電流平均值分0.5~40A等多種規格,最高反向工作電壓有50~1000V等多種規格。小功率硅整流橋可直接焊在印刷板上,大、中功率硅整流橋則要用螺釘固定,并且需安裝合適的散熱器。
整流橋的主要參數有反向峰值電壓URM(V),正向壓降UF(V),平均整流電流Id(A),正向峰值浪涌電流IFSM(A),最大反向漏電流 IR(μA)。整流橋的反向擊穿電壓URR應滿足下式要求:

舉例說明,當交流輸入電壓范圍是85~132V時,umax=132V,由式(1)計算出UBR=233.3V,可選耐壓400V的成品整流橋。對于寬范 圍輸入交流電壓,umax=265V,同理求得UBR=468.4V,應選耐壓600V的成品整流橋。需要指出,假如用4只硅整流管來構成整流橋,整流管 的耐壓值還應進一步提高。辟如可選1N4007(1A/1000V)、1N5408(3A/1000V)型塑封整流管。這是因為此類管子的價格低廉,且按 照耐壓值“寧高勿低”的原則,能提高整流橋的安全性與可靠性。
設輸入有效值電流為IRMS,整流橋額定的有效值電流為IBR,應當使IBR≥2IRMS。計算IRMS的公式如下:

式中,PO為開關電源的輸出功率,η為電源效率,umin為交流輸入電壓的最小值,cosφ為開關電源的功率因數,允許cosφ=0.5~0.7。由于整 流橋實際通過的不是正弦波電流,而是窄脈沖電流(參見圖1),因此整流橋的平均整流電流Id<IRMS,一般可按Id=(0.6~0.7)IRMS 來計算IAVG值。
例如,設計一個7.5V/2A(15W)開關電源,交流輸入電壓范圍是85~265V,要求η=80%。將Po=15W、η=80%、umin=85V、 cosψ=0.7一并代入(2)式得到,IRMS=0.32A,進而求出Id=0.65×IRMS=0.21A。實際選用lA/600V的整流橋,以留出 一定余量。
2 輸入濾波電容器的選擇
1)輸入濾波電容器容量的選擇
為降低整流濾波器的輸出紋波,輸入濾波電容器的容量CI必須選的合適。令每單位輸出功率(W)所需輸入濾波電容器容量 (μF)的比例系數為k,當交流電壓 u=85~265V時,應取k=(2~3)μF/W;當交流電壓u=230V(1±15%)時,應取k=1μF/W。輸入濾波電容器容量的選擇方法詳見附 表l,Po為開關電源的輸出功率。[page]

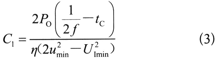
2)準確計算輸入濾波電容器容量的方法輸入濾波電容的容量是開關電源的一個重要參數。CI值選得過低,會使UImin值大大降低,而輸入脈動電壓UR卻升 高。但CI值取得過高,會增加電容器成本,而且對于提高UImin值和降低脈動電壓的效果并不明顯。下面介紹計算CI準確值的方法。
設交流電壓u的最小值為umin。u經過橋式整流和CI濾波,在u=umin情況下的輸入電壓波形如圖2所示。該圖是在Po=POM,f=50Hz、整流 橋的導通時間tC=3ms、η=80%的情況下繪出的。由圖可見,在直流高壓的最小值UImin上還疊加一個幅度為UR的一次側脈動電壓,這是CI在充放 電過程中形成的。欲獲得CI的準確值,可按下式進行計算:

舉例說明,在寬范圍電壓輸入時,umin=85V。取UImin=90V,f=50Hz,tC=3ms,假定Po=30W,η=80%,一并帶入(3)式 中求出CI=84.2μF,比例系數CI/PO=84.2μF/30W=2.8μF/W,這恰好在(2~3)μF/W允許的范圍之內。

3 漏極鉗位保護電路的設計
對反激式開關電源而言,每當功率開關管(MOSFET)由導通變成截止時,在開關電源的一次繞組上就會產生尖峰電壓和感應電壓。其中的尖峰電壓是由于高頻 變壓器存在漏感(即漏磁產生的自感)而形成的,它與直流高壓UI和感應電壓UOR疊加在MOSFET的漏極上,很容易損壞MOSFET。為此,必須在增加 漏極鉗位保護電路,對尖峰電壓進行鉗位或者吸收。
1)漏極上各電壓參數的電位分布
下面分析輸入直流電壓的最大值UImax、一次繞組的感應電壓UOR、鉗位電壓UB與UBM、最大漏極電壓UDmax、漏一源擊穿電壓U(BR)DS這6 個電壓參數的電位分布情況,使讀者能有一個定量的概念。對于TOPSwitch—XX系列單片開關電源,其功率開關管的漏一源擊穿電壓 U(BR)DS≥700V,現取下限值700V。感應電壓UOR=135V(典型值)。本來鉗位二極管的鉗位電壓UB只需取135V,即可將疊加在UOR 上由漏感造成的尖峰電壓吸收掉,實際卻不然。手冊中給出UB參數值僅表示工作在常溫、小電流情況下的數值。實際上鉗位二極管(即瞬態電壓抑制器TVS)還 具有正向溫度系數,它在高溫、大電流條件下的鉗位電壓UBM要遠高于UB。實驗表明,二者存在下述關系:

這表明UBM大約比UB高40%。為防止鉗位二極管對一次側感應電壓UOR也起到鉗位作用,所選用的TVS鉗位電壓應按下式計算:

此外,還須考慮與鉗位二極管相串聯的阻塞二極管VD的影響。VD一般采用快恢復或超快恢復二極管,其特征是反向恢復時間(trr)很短。但是VDl在從反向截止到正向導通過程中還存在著正向恢復時間(tfr),還需留出20V的電壓余量。
考慮上述因素之后,計算TOPSwitch一 最大漏一源極電壓的經驗公式應為:

TOPSwitch—XX系列單片開關電源在230V交流固定輸入時,MOSFET的漏極上各電壓參數的電位分布如圖3所示,占空比D≈26%。此時 u=230V±35V,即umax=265V,UImax=umax≈375V,UOR=135V,UB=1.5 UOR≈200V,UBM=1.4UB=280V,UDmax=675V,最后再留出25V的電壓余量,因此U(BR)DS=700V。實際上 U(BR)DS也具有正向溫度系數,當環境溫度升高時U(BR)DS也會升高,上述設計就為芯片耐壓值提供了額外的裕量。
[page]2)漏極鉗位保護電路的設計
漏極鉗位保護電路主要有以下4種設計方案(電路參見圖4):

(1)利用瞬態電壓抑制器TVS(P6KE200) 和阻塞二極管(超陜恢復二極管UF4005) 組成的TVS、VD型鉗位電路,如(a)圖所示。圖中的Np、NS和NB分別代表一次繞組、二次繞組和偏置繞組。但也有的開關電源用反饋繞組NF來代替偏置繞組NB。
(2)利用阻容吸收元件和阻塞二極管組成的R、C、VD型鉗位電路,如(b)圖所示。
(3)由阻容吸收元件、TVS和阻塞二極管構成的R、C、TVS、VD型鉗位電路,如(c)圖所示。
(4)由穩壓管(VDZ)、阻容吸收元件和阻塞二極管(快恢復二極管FRD)構成的VDz、R、C、VD型鉗位電路,如(d)圖所示。
上述方案中以(c)的保護效果最佳,它能充分發揮TVS響應速度極快、可承受瞬態高能量脈沖之優點,并且還增加了RC吸收回路。鑒于壓敏電阻器(VSR) 的標稱擊穿電壓值(U1nA)離散性較大,響應速度也比TVS慢很多,在開關電源中一般不用它構成漏極鉗位保護電路。
需要指出,阻塞二極管一般可采用快恢復或超快恢復二極管。但有時也專門選擇反向恢復時間較長的玻璃鈍化整流管1N4005GP,其目的是使漏感能量能夠得 到恢復,以提高電源效率。玻璃鈍化整流管的反向恢復時間介于快恢復二極管與普通硅整流管之間,但不得用普通硅整流管1N4005來代替lN4005GP。
常用鉗位二極管和阻塞二極管的選擇見附表2。



