【導讀】近年來,電子技術的進步為醫療保健行業的諸多創新和改進創造了條件。醫療保健設備面臨的挑戰包括提出新的診斷和治療方法,實現遠程監控,開發家庭護理設備,提高質量和可靠性,以及增強靈活性和易用性。
40余年以來,ADI公司豐富而全面的線性、混合信號、MEMS和數字信號處理技術給儀器儀表、成像和病人監護等領域的醫療設備設計帶來了重大的變革。本文將集中探討電容數字轉換器(CDC)技術,該技術使得在醫療保健應用中使用高性能電容檢測成為可能。
電容式觸摸傳感器控制器——一種全新的用戶輸入法
電容式觸摸傳感器以類似圖1所示的按鈕、滑動條、滾輪或其他方式提供一種用戶界面。

圖1. 觸摸傳感器布局示例
各個藍色幾何區域表示印刷電路板(PCB)上的一個傳感器電極,構成虛擬電容器的一個極板。另一極板則由用戶的手指構成,實際上,該極板相對于傳感器輸入是接地的。AD7147/AD7148 CapTouch™控制器系列專為激勵電容式觸摸傳感器和與之接口而設計,能夠測量來自單電極傳感器的電容變化。器件首先輸出一個激勵信號,使電容器極板充電。當一個物體(如用戶手指)靠近傳感器時,用戶充當電容器的令一個極板,將形成虛擬電容器(如圖2)。利用電容數字轉換器(CDC)可以測量該電容。

圖2.電容檢測示意圖和典型響應
該CDC能夠感知外部傳感器的電容變化,并借助此信息來記錄傳感器激活事件。AD7147和AD7148分別有13個和8個電容輸入,并均配有片內校準邏輯,用以對環境變化引起的測量變化進行補償,從而確保不會因溫度變化或濕度變化而在外部傳感器上產生誤觸發事件。
AD7147和AD7148提供多種工作模式、用戶可編程的轉換序列和極其靈活的控制功能。這些特性使其成為高分辨率觸摸傳感器功能的理想選擇,比如滑動條或滾輪,而且其對軟件的要求很低。另外,無需使用任何軟件,即可用片內數字邏輯完整實現按鈕傳感器應用。
電容檢測和測量的基本原理
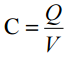
電容是指電容器在電場中存儲能量的能力。在其標稱形態中——平行板電容器——電容C衡量在給定電壓V下電容器中存儲的電荷Q,計算公式為
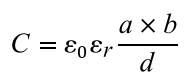
對于平行板電容器,電容檢測和測量技術的本質如圖3所示。

圖3.測量平行板電容器的電容
平行板電容器由兩個導體(金屬板)構成,其特性為
● 導體面積 , a × b
● 兩個導體極板之間的距離d
● 兩個導體之間的電介質,用介電常數er表示r
● 根據這種幾何結構,電容計算公式如下

其中,ε0為自由空間的介電常數
CDC器件將一個激勵施加到電容器的一個極板上,然后測量該電容器中存儲的電荷;之后,外部主機即可訪問數字結果。根據激勵的作用方式,可分為四類電容傳感器,如圖4所示。

圖4.傳感器電氣配置
由于傳感器電容由a、b、d和er決定,因此,通過改變這些參數的值,或者觀察其值的變化,即可將CDC技術用于直接測量電容值以及多種其他應用之中,具體視傳感器類型而定。例如,如果a、b和εr是恒定的,CDC輸入與兩個導體之間的距離成反比。
應用
AD714x、AD715x和AD774x系列CDC產品適用于涉及各類采樣速率、分辨率、輸入范圍和輸入傳感器類型的廣泛應用。電容檢測技術的潛在應用范圍僅局限于用戶的創造力,我們下面就介紹一些其在醫療保健領域的可能的應用方法。
液位監控
在輸液等眾多應用中,必須測量所用液體量,或者在輸液瓶變空之前必須停止輸液。為了節省醫護人員的時間,可利用自動液位檢測技術來消除人工檢查的必要。
液位檢測的基本原理如圖5所示。構建一個平行板電容器,使其極板緊緊地附著在輸液瓶的外壁上,并延伸到輸液瓶底部附近。隨著輸液液位的變化,極板之間的電介質數量發生變化,從而導致電容發生變化。為了能夠使用介電常數不同的各種輸液物質,需在輸液瓶底部附近再放一個電容式傳感器,充當一個基準通道,以形成比率式測量。

圖5.液位檢測
24位AD7746, 搭載兩個電容測量通道,可以用于這類應用。
電極和人體之間的連接檢測
對于在人體皮膚附近使用的設備(如圖6所示的那些設備),在激活設備或進行測量之前,首先了解設備表面與病人皮膚之間接觸的質量通常是有好處的。最終使用的范圍可能包括需要接觸皮膚的醫療探頭、生物電位電極傳感器或把導管固定到適當位置的殼體。為了獲得這種額外的信息,在生產過程中的注塑階段可能會將多個電容式傳感器電極(以藍色顯示)直接嵌入到設備的塑料殼體中。有了電極信息后,主機控制器上運行的簡單算法就可以確定所有傳感器電極是否與皮膚進行良好的接觸。

圖6.采用電容式傳感器電極的設備
圖6所示示例運用電容式傳感器的方式打破了常規:用戶將一個含有電容式檢測電極的設備固定于人體上,而在傳統的電容式檢測人機界面應用中,人們一般通過手指觸摸的方式啟動與傳感器電極的接觸事件。利用AD7147/AD7148開發如圖6所示應用非常簡單。
汗液檢測
在某些醫療和保健測試設備中,需要測量人體排出的汗液。這一般是通過測量皮膚的導電性來實現的。然而,如果需要在不進行電接觸的情況下進行測量,則可通過用電容傳感器檢測人體附近的濕度來實現這種功能
出汗時,人體皮膚附近的濕度(介電常數)會增加;可在出汗處皮膚附近用一個非接觸式電極來測量出汗導致的電容變化
可以再增加一個電容傳感器,以測量環境濕度,并用其實現共模補償。
呼吸速率測量
呼吸速率測量是病人監護系統中的一個重要模塊。
在其中一種實現方式中(如圖7所示),將一塊激勵極板放在病人背部,同時,將傳感器電極帶固定到病人胸部右側。肺部呼吸導致的胸部運動會改變兩塊極板之間的距離。介電常數也會因呼吸過程中復雜的生理活動而改變。這些電容的變化可以通過CDC設備來測量。

圖7.呼吸速率測量
將傳感器電極置于病人胸部右側的原因在于,這個位置受其他生理活動的影響最小。然而,通過將多個傳感器電極放在病人胸部的不同位置,可以獲得有關人體功能的更多信息。這個話題非常有趣,需要進一步研究
血壓測量
在使用充氣臂帶的血壓測量應用中,一項重要的任務是測量氣閥處的壓力。在這類壓力檢測應用中,電容式傳感器使用起來非常簡單。
如圖8所示,壓力傳感器的薄膜基本是由兩個電容極板構成。向傳感器施加壓力時,電容極板之間的距離縮短。極板間的距離縮短會導致電容升高。
可使用一個溫度傳感器來檢測傳感器的溫度變化,以補償溫度變化導致的特性變化。AD774x系列內置一個溫度傳感器,用于測量片內溫度——另外還搭載了一個ADC電壓通道,可用來測量電容傳感器位置的溫度。

圖8.用電容式傳感器檢測壓力
結束語
本文簡要介紹了ADI公司在CDC技術領域取得的一些成就,暗示了CDC技術在醫療保健應用中的巨大潛力。然而,傳感器設計——包括樣式、尺寸和位置——相關的詳細電子電路設計,以及深入研究、綜合實驗和有效測試的必要性在很大程度上取決于各種應用的性質,因此,我們在本文中只是拋磚引玉而已。
誠摯邀請各位訪問EngineerZone上的ADI公司社區,就CDC技術在醫療保健領域的應用發表高見。
參考電路
ADI CDC 主頁: http://www.analog.com/cdc.
ADI 公司醫療保健產品主頁: http://healthcare.analog.com.
Prutchi, David, and Michael Norris. Design and Development of Medical Electronic Instrumentation. ISBN 0-471-67623-3. John Wiley & Sons, Inc., 2005. 有關所有ADI公司產品的信息,請訪問 www.analog.com.
推薦閱讀:





