【導讀】值得一提的是,實際上,變壓器輸出不是理想的差分信號——兩個輸出之間可能存在相位和/或幅度不平衡。這些不平衡會增加二次諧波失真。可以看出,二次諧波幅度受相位不平衡的影響比幅度不平衡的影響更嚴重。
通過差分信號驅動對稱結構通常是抑制二次諧波的基本技術。讓我們看看這個技術是如何工作的。
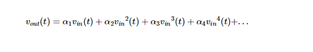
假設我們的非線性電路是無記憶的(即任何時刻的輸出僅取決于同時的輸入)。我們可以使用以下等式來近似非線性輸入輸出特性:

其中
分別是電路輸入和輸出信號。
在此等式中,系數
指定電路的線性增益,而
則表征二次諧波失真。為了分析二次諧波,我們可以忽略高階失真系數
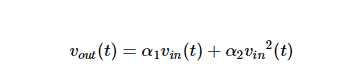
并得到簡化的方程:

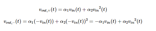
如果我們采用該電路的兩個副本,一個由輸入
激發,另一個由
激發,我們將獲得以下輸出:

減去這兩個輸出,我們有:
_20230706012711_916.jpg)
當各個電路產生二次諧波時,差分輸出可以理想地抑制失真分量。這是差分操作的一個非常重要的特性,并解釋了為什么由差分信號驅動的差分電路不產生偶次諧波。
實際上,差分電路可能無法完全抑制偶次諧波。然而,與奇次諧波相比,差分結構的偶次諧波通常可以忽略不計。
示例:差分 ADC 接口可以減少二次諧波
下圖顯示了一個示例應用,其中使用兩個單端信號路徑創建與 ADS5500(TI的 14 位、125MSPS 模數轉換器)的差分接口。

圖 1,圖片由TI提供。
變壓器將單端輸入轉換為差分信號。經過變壓器后,兩條信號路徑完全相同。
值得一提的是,實際上,變壓器輸出不是理想的差分信號——兩個輸出之間可能存在相位和/或幅度不平衡。這些不平衡會增加二次諧波失真。可以看出,二次諧波幅度受相位不平衡的影響比幅度不平衡的影響更嚴重。
免責聲明:本文為轉載文章,轉載此文目的在于傳遞更多信息,版權歸原作者所有。本文所用視頻、圖片、文字如涉及作品版權問題,請聯系小編進行處理。
推薦閱讀:




