【導讀】通常,被動元件值的變化會導致濾波器響應特性發生一些變化。如果這種變化足夠小,就會存在一個靈敏度 S,這是一個比例常數,將濾波器參數 y 變化與被動元件 x 的變化聯系起來。為了保持 S 無量綱,將被動元件值的分數變化與參數的變化聯系起來會很有用。
濾波器中使用的無源元件類型
但與其依靠經驗法則,不如先使用標稱值無源元件和無高頻滾降且諧振頻率增益為 1000·4·Q 2或更高的運算放大器來模擬濾波器。然后,降低增益并引入高頻滾降,直到看到響應變化。,可以選擇具有匹配或更優異特性的運算放大器并將其用于模擬以確認設計。
由于元件公差導致的量化濾波器響應變化
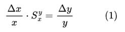
通常,被動元件值的變化會導致濾波器響應特性發生一些變化。如果這種變化足夠小,就會存在一個靈敏度 S,這是一個比例常數,將濾波器參數 y 變化與被動元件 x 的變化聯系起來。為了保持 S 無量綱,將被動元件值的分數變化與參數的變化聯系起來會很有用。從數學上講,

當 Δx 趨向于零時求解極限,我們得到:
值得關注的 x 實例是組成濾波器的電阻和電容值。y 實例是定義濾波器參數:通帶增益、Q 和 ω 0 = 2π·f 0。以下是如何計算圖 1中低通濾波器的各種 S 值的示例。
圖 1用于計算各種 S 值的示例低通濾波器。
上述濾波器的頻域(s平面)傳遞函數為:
對于這樣的部分,這等于:
通過使同類項相等,可以計算出各種參數。但真正需要的是每個 y 參數對完整濾波器設計(涉及其所有無源元件)的總靈敏度。一種方法是使用以下公式:
這是特定 y 對每個 i 組件 x i的靈敏度平方和乘以 x i的容差(百分比),pct_tol xi 的平方根。此表達式可用于比較具有不同組件值集的實現的總體靈敏度。
通用濾波器設計方法
參見圖 2,其中顯示了用于設計和分析低通濾波器的電子表格LPF.xlsx。其許多特性與高通和帶通電子表格中使用的特性相同。
圖 2低通濾波器電子表格的屏幕截圖,其中黃色值由用戶輸入,橙色單元格是電子表格自動計算的濾波器組件值,底部參數是電子表格所需的中間計算,F 列和 G 列包含靈敏度值。還有一個忽略 _ρ 的圖表,顯示用戶可以選擇的多種可能的組件值。
C 列第 5 行至第 14 行中的黃色值是用戶輸入的值。這些包括濾波器特性參數 Q、增益和 f 0;以及比率 _ρ = C1/C2(請注意與單元格 C10 相關的注釋);C1 和 RG 的值(B 列至 D 列和第 26 行至第 37 行中所示的原理圖中元件的參考指示器);以及濾波器中打算使用的電阻器 (r_tol) 和電容器 (c_tol) 的百分比公差。
橙色單元格(B 列和 C 列,第 20 至 24 行)是電子表格根據這些用戶輸入計算出的過濾組件值。C 列和 D 列,第 43 至 48 行包含電子表格所需的一些中間計算。
F 和 G 列包含與每個組件 x 相關的、和靈敏度。僅列出對總靈敏度參數 S Q、 S Gain和 S ω 0 (也顯示在這些列中)具有非零影響的靈敏度。請注意,電子表格計算的每個參數的方程式都出現在參數值的右側。還有一個忽略 _ρ 的圖表,顯示用戶可以選擇的多種可能的組件值。
低通濾波器設計
現在讓我們看一下圖上的參數 _ρ = _C1 /_C2 和靈敏度 S Q和 S ω 0 的曲線,它們由 _r = _R2/(1/_R1a + 1/_R1b) 參數化,值從 .01 到 100。這些僅取決于 Q、增益和 _r。所有這些都是無量綱的。
_ρ 曲線顯示,對于此特定濾波器,小于 4·Q 2 = 4的值沒有解。(如果您為 _ρ 輸入了這樣的值,Excel 將對許多電子表格計算返回 #NUM!錯誤。)增益靈敏度曲線 S Gain無法以對數刻度顯示 - 單元格 G25 顯示它等于零。為什么?通帶(低頻)增益為 1,RF 為零,R1b 為無窮大(電子表格顯示它大得離譜),并且沒有任何無源元件對增益產生任何影響。(在物理濾波器中,仍然對單位增益配置運算放大器的增益敏感,由于其有限增益帶寬積,該增益實際上小于單位增益。因此,這是使用預期運算放大器模擬濾波器設計的原因之一。)有趣的是,對于大于或等于單位增益,組件對 S ω 0的敏感度與 Q、_r、_ρ 和 Gain 無關,僅取決于公差 r_tol 和 c_tol。如果 Gain 為單位增益,則可能受影響的整體敏感度是 S Q,在這種情況下,當 _ρ = 4·Q 2 = 4 時,S Q 被化。
當 _C1 輸入 12.0E-9 時,_ρ 的表達式 = 12/2.7 ≈ 4.44 接近 4,從而允許使用標準值電容器。可以看出,對于低通和高通濾波器,不敏感的選擇是增益為 1。圖 3顯示了當增益要求增加哪怕一點點到 1.5 時會發生什么。
圖 3 的低通濾波器設計,其增益參數從 1 增加到 1.5。
S ω 0保持不變,正如預期,但 S Q現在已經增加了一倍多,S Gain也出現了,盡管這并不令人擔憂。的好消息是 _ρ = _C1/_C2 可以降低到 2.2/1,_C1 可以降低到 2.2E-9(圖 3 中未顯示),對 S Q沒有顯著影響。不建議大幅增加 Gain,因為這會導致 S Q大幅跳躍,如圖4所示。
圖 4低通濾波器屏幕截圖,增益從 1 跳變到 5,導致 SQ 出現大幅跳躍。
與圖 3 設計相比,如此大的增益值使 S Q的可獲得值增加了6 倍。對于更高的 Q 值和大于 1% 的組件公差,問題會變得更加嚴重。
低通濾波器設計總結
毫無疑問,使用公差的無源元件可以獲得結果。幾乎無法影響 S ω 0的值,當增益值大于或等于 1 時,該值保持不變,而當增益較小時,該值僅會小幅下降。幸運的是,它的值相對較小。對于給定的 Q 和 f 0值,不敏感的低通濾波器設計總體上具有 1 增益。在這種情況下,S Gain為零,S Q處于值。1 或更低的增益會使 S Q 保持不變,但會導致 S Gain略高于非常穩定的 S ω 0。真正的問題來自于大于 1 的增益值:即使稍高的值也會導致 S Q顯著增加并壓倒 S Gain和 S ω 0的貢獻,但它們會降低 _ρ 的可用值,對于某些高 Q 情況,這可能是與增加 S Q相比可以接受的權衡。不過,一般來說,避免增益值遠大于 1 是明智的,您可以驗證通常推薦的增益 = 2 的情況,以允許相等的電容值使 _ρ = 1 產生 S Q的驚人增加。
高通濾波器設計
除了與 R1 和 R2 的處理方式以及 C1 和 C2 的處理方式互換有關的一些差異外,圖 5所示的高通濾波器設計和高通濾波器設計電子表格與低通濾波器的設計非常相似。的差異首先是,圖形曲線的參數化方式是 _ρ = _C1/_C2(假設值從 .01 到 100),而不是 _r = _R2/_R1。對于低通,_r 的任何值都會產生可實現的結果,而對于高通,_ρ 也是如此。其次,沒有與低通濾波器的 R1b/R1a 相對應的 C1b/C1a 分壓器 - 只有 _C1。引入電容分壓器需要前級來驅動電容負載,從而引起振蕩。因此,盡管高通濾波器無法支持小于 1 的增益值,但高通和低通設計顯示出明顯的相似性。圖 4 與圖 5 的圖表采用相同的 Q、增益和 f 0,進行比較,結果幾乎相同(_ρ 和 _r 互換)。
圖5:高通濾波器屏幕截圖,其Q值、增益和f 0要求與圖4相同。
高通濾波器設計摘要
“低通濾波器設計摘要”部分中的評論也適用于此,只是沒有小于 1 的增益值選項。
帶通濾波器設計
雖然高通和低通濾波器中對元件公差不敏感的拓撲結構是 Sallen-Key,但對于帶通濾波器來說,它是 Delyannis-Friend(又稱多反饋配置)。圖 6中可以看到帶通濾波器電子表格的屏幕截圖。
帶通的用戶數據輸入與低通和高通情況非常相似,只是沒有 _RG(因此也沒有 _RF)。再次提醒,請注意 D 和 E 列注釋中的注釋。如果單元格 C6(諧振時的濾波器增益)的背景為紅色,則沒有可實現的濾波器,應忽略 C 至 G 列中的計算,并且圖表將為空白。
在某些情況下,單元格 C6 的背景顏色將為正常的白色,但濾波器將僅對某些較小的 _ρ 值可實現,并且圖形的曲線將相應地顯示。無論單元格 C10 中的 _ρ 值是多少,曲線都可能不存在,或部分或全部存在。但如果 C10 的背景顏色為紅色,則應忽略 C 至 G 列中與 _ρ 相關的計算。圖 6 是一個示例,其中濾波器諧振時的增益足夠接近可能值 2·Q 2,從而導致高 _ρ 值(大于 30)無法實現。
圖 6帶通濾波器屏幕截圖,其中用戶輸入數據(黃色)與低通和高通濾波器 Excel 表相似。
帶通濾波器設計總結
令人驚訝的是,無源靈敏度曲線幾乎完全獨立于用戶指定的諧振濾波器增益。這是因為對于給定的 Q 和 f 0,濾波器增益由 R1a 與 R1b 的比率設置。這些組件的并聯組合與濾波器增益無關,濾波器的其余部分除了信號電平外沒有區別。(設計人員應該知道,運算放大器很容易在增益過高的情況下在諧振點或附近削波。)令人驚訝的是,靈敏度與 Q 無關。但是,Q 越高,運算放大器開環增益就必須越高,以提供足夠的裕度來準確實現所需的運算放大器閉環增益。強烈建議使用為其設計的運算放大器或具有類似增益特性的運算放大器來模擬濾波器設計。
僅從靈敏度曲線來看,可以得出結論,選擇是 _ρ 為 1 或更小。_ρ = 1 具有比率 _r = R2 / (R1a || R1b) 的優勢。但請考慮諧振時運算放大器的增益:_ρ 值越高,所需的增益越小,對運算放大器開環增益要求的負擔越小,從而提供足夠的裕度來滿足閉環增益要求。
更高的 _ρ 值只會使壓倒性的 S增益增加一點點。顯然,當考慮對運算放大器閉環增益的要求時,_ρ 值小于 1 會帶來相當大的不利影響。也許的選擇是 _ρ = 1。匹配的電容器可以是任何標準值,S增益接近其值,_r 為其值,運算放大器閉環(因此也是開環)增益要求只會略有增加。
靈活的無源元件值
本文及其附帶的電子表格幫助您了解通帶增益、Q 值和諧振頻率對幾乎無限的無源元件組合的敏感性,這些無源元件可構成低通、帶通和高通單運算放大器濾波器。本文還提供了使用現成電容值來實現設計的能力。希望濾波器設計人員會發現這些是一套有用的工具,其功能在其他地方是找不到的。
免責聲明:本文為轉載文章,轉載此文目的在于傳遞更多信息,版權歸原作者所有。本文所用視頻、圖片、文字如涉及作品版權問題,請聯系小編進行處理。
推薦閱讀:





