【導讀】功率轉換開關頻率一直在不斷提高,以便最大限度地提升功率密度,軟開關技術如零電壓開關成為通用的技術以進一步提高開關頻率。隨著開關頻率的增大,功率MOSFET 的寄生特性不再可忽略不計,輸出電容是所有寄生成分中至關重要的寄生參數。
對于采用軟開關技術如零電壓開關(zero voltage switching,ZVS)拓撲的功率轉換器設計,輸出電容是所有寄生成分中至關重要的寄生參數。它決定了需要多少電感量來提供ZVS的工作條件。傳統上,許多設計人員使用粗略的假設來為公式[1-2]提供輸出電容的固定值。然而常用的等效輸出電容值在實際應用中卻沒有很大的幫助,因為它是根據漏-源電壓變化的,并且在開關管導通/關斷轉變期間不能提供準確的儲能信息。在功率轉換器工作電壓下,根據輸出電容存儲能量新定義的等效輸出電容,能夠實現更優化的功率轉換器設計。
ZVS轉換器中的輸出電容
在軟開關拓撲中,通過使用電感中的儲能來達到零電壓導通,漏電感和串聯電感或變壓器中的磁化電感,通過諧振方式使開關管中的輸出電容放電。因此,電感必須精確設計,以防止硬開關引起額外的功率損耗。下面的公式是零電壓開關的基本要求。
其中,Ceq是開關等效輸出電容,CTR是變壓器寄生電容
(2)
其中,CS是開關等效輸出電容
公式(1)用于移相全橋拓撲[2],公式(2)用于LLC諧振半橋拓撲[3]。在兩個公式中輸出電容都起著重要作用。如果在公式(1)中假設輸出電容過 大,公式會給出較大的電感。然后,此大電感將降低初級di/dt,并且減低功率轉換器的有效占空比。相反,太小的輸出電容將導致較小的電感和有害的硬開 關。另外,公式(2)中太大的輸出電容將限制磁化電感并引起循環電流的增加。因此,對于優化軟開關轉換器設計,獲取準確的開關輸出電容值是非常關鍵的。通 常,針對等效輸出電容的常見假設傾向于使用較大的數值。所以,根據公式(1)或(2)選擇電感后,設計人員必須調整其功率轉換器參數,并且要經過數次反復 設計,因為每個參數都是相互關聯的,例如,匝數比、漏電感、以及有效占空比。而且,功率MOSFET的輸出電容是根據漏-源電壓變化的。在功率轉換器工作 電壓下,根據儲能來等效出的輸出電容值是這些應用的最佳替代選擇。
從輸出電容中獲得儲能
在電壓-電荷關系圖上,電容呈斜直線,電容中的儲能為該直線下包含的區域。雖然功率MOSFET的輸出電容卻是非線性的,并且依據漏源電壓的變化而變化, 但是,輸出電容中的儲能仍為非線性電容線下所包含的區域。因此,如果我們能夠找出一條直線,由該直線給出的區域與圖1中顯示的變化的輸出電容曲線所包含的 區域相同,則直線的斜率恰好是產生相同的儲能的等效輸出電容。

圖1. 等效輸出電容的概念
對于某些老式平面技術MOSFET,設計人員可能會用曲線擬合來找出等效輸出電容,其基于通常指定的25V漏源電壓下的數據表中的輸出電容值。
(3)
于是,儲能可由簡單積分公式獲得。
(4)
最后,有效輸出電容即為
(5)
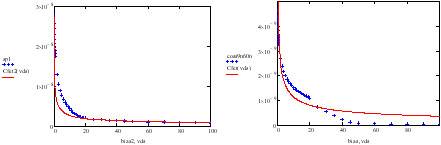
圖2顯示了輸出電容的測量值以及由公式(3)得出的擬合曲線。相對于圖2(a)的老式技術MOSFET,它的效果不錯。然而,對于使用新技術如超級結技 術,輸出電容有更多非線性特性的MOSFET,則簡單的指數曲線擬合有時不夠好。圖2(b)顯示了最新技術MOSFET的輸出電容測量值以及用公式(3) 得出的擬合曲線。對于等效輸出電容值,兩者之間在高電壓區的間隙會導致巨大的差異,因為在積分公式中電壓對于電容是相乘的。圖2(b)中的估計將產生大得 多的等效電容,這會誤導轉換器的初始設計。

圖2. 輸出電容估值,(a)老式MOSFET,(b)新MOSFET
如果輸出電容值依據漏源電壓而變化,輸出電容中的儲能可以使用公式(4)來求得。雖然電容曲線顯示在數據表中,但從圖表中精確地讀出電容值并不容易。因 此,依據漏源電壓,輸出電容中的儲能由最新功率MOSFET數據表中的圖表給出。通過圖3顯示的曲線,使用公式(5),可以得到在期望的直流(DC)總線 電壓下的等效輸出電容。

圖3. 輸出電容中的儲能
[member]
[page]
關于輸出電容的常見問題
在許多情況下,開關電源設計人員會有關于MOSFET電容溫度系數的疑問,因為功率MOSFET通常工作在高溫下。總之,MOSFET電容值對于溫度可以 被認為是恒定的。MOSFET電容由耗竭長度(depletion length)、摻雜濃度、溝道寬度和硅介電常數所決定,但所有這些因素不會由溫度而產生較大的變化。而且MOSFET開關特性如開關損耗或開/關轉換速 度也不會因溫度而產生較大的變化,因為MOSFET是多數載流子器件,因而開關特性主要是由其電容來決定。當溫度上升時,等效串聯柵極電阻會有少量增加。 這會使MOSFET在高溫下的開關速度少許降低。圖4顯示了依據溫度變化的電容。溫度變化超過150度時,電容值的變化也不超過1%。

圖4. MOSFET電容對比溫度的變化
另一個設計人員感興趣的地方是MOSFET電容的測試條件。大多數情況下,輸出電容在1MHz頻率和Vgs為0V的條件下測得。事實上存在著柵極對漏極電容、柵極對源極電容,以及漏極對源極電容。實踐中,單獨測量每一種電容是不可能的。因此,柵極對漏極電容和漏極對源極電容總稱為輸出電容,通過并聯兩個電容來測量。為使它們并聯,柵極和源極短接在一起,即Vgs=0V。 在開關應用中,當MOSFET在柵極加偏置電壓而導通時,輸出電容通過MOSFET內部溝道而短路。僅當MOSFET關斷時,輸出電容值才值得考慮。關于 頻率,如圖5所示,在低壓下輸出電容在低頻下增加少許。低頻時,因為測試設備的限制,有時無法測量低漏源電壓下的電容。圖5中,當漏源電壓小于4V 時,100kHz處的電容是無法測得的。雖然輸出電容僅有微小改變,但等效輸出電容幾乎是恒定的,因為低電壓下輸出電容的微小改變不會對儲能產生如圖3顯 示那么大影響。

圖5. MOSFET電容對比頻率
結論
輸出電容是軟開關轉換器設計的重要部分。必須慎重考慮等效電容值,而不是固定漏源電壓下的單一數值,本文也提供了有關輸出電容測試條件和溫度系數的討論。



