【導讀】電阻溫度系數(TCR),也稱RTC,是一種性能特征,在很大程度上受電阻結構影響,阻值極低,并且不同的測試方法會產生不一樣的結果。本文將重點介紹影響這一指針的結構和技術特點,以及如何更好地理解這一電阻性能參數。
電阻溫度系數(TCR),也稱RTC,是一種性能特征,在很大程度上受電阻結構影響,阻值極低,并且不同的測試方法會產生不一樣的結果。本文將重點介紹影響這一指針的結構和技術特點,以及如何更好地理解這一電阻性能參數。
因果關系
電阻是多種因素共同作用的結果,這些因素導致電子運動偏離金屬或金屬合金晶格理想路徑。
晶格缺陷或不完整會造成電子散射,從而延長行程,增加電阻。以下情況造成這種缺陷和不完整:
因熱能在晶格中移動
晶格中存在不同原子,如雜質
部分或完全沒有晶格(非晶結構)
晶界無序區
晶體缺陷和缺陷
TCR以ppm/℃為單位測量,是上述缺陷熱能部分的特征,不同材料之間差異很大(參見表1)。當溫度恢復到基準溫度時,這種電阻變化的影響恢復原狀。

表1:不同電阻層材料TCR,單位為ppm/℃
TCR影響的另一種可見形式是材料的溫度膨脹率。以兩個分別長100m的不同棒料A和B為例,棒料A的長度變化率為+500ppm/℃,棒料B的變化率為+20ppm/℃。145℃溫變下,棒料A長度增加7.25m,而棒料B的長度僅增加0.29m。以圖1比例圖(1/20)直觀顯示這種差異。棒料A的長度明顯變化,棒料B看不出有什么不一樣。

圖1:比較不同棒料的溫度膨脹率
這種情況也適用于電阻,TCR越低,加電(導致電阻層溫度升高)或周圍環境溫度下的測量結果越穩定。
如何測量TCR
根據MIL-STD-202 Method 304測試標準,TCR性能指以25℃為基準溫度,當溫度變化時,電阻阻值變化,組件達到平衡后,阻值差即TCR。電阻隨溫度升高而增加為正TCR (請注意,自熱也會因TCR產生電阻變化)。
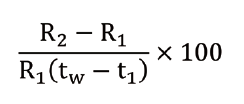
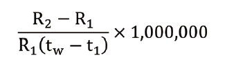
電阻-溫度系數(%):

電阻-溫度系數(ppm):

其中,R1 = 基準溫度電阻、R2 =工作溫度電阻、t1 =基準溫度(25℃)、t2 =工作溫度。
工作溫度(t2)通常取決于應用。例如,儀器典型溫度范圍為-10~60℃,而國防應用溫度范圍一般為-55~125℃。
圖2顯示溫度從25℃開始升高,電阻成比例變化時不同TCR對比。

圖2:溫度升高,電組成比例變化時的不同TCR比較
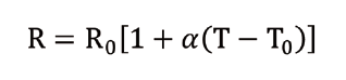
以下公式計算給定TCR條件下最大阻值變化:

其中,R=最終電阻、R0 =初始電阻、α=TCR、T=最終溫度、T0 =初始溫度。
結構對TCR的影響
金屬條(Metal Strip)和金屬板(Metal Plate)電阻技術TCR性能優于傳統厚膜檢流電阻,因為厚膜電阻材料主要是銀,而銀端子和銅端子TCR值比較高。

圖3:不同材料電阻技術TCR性能。
Metal Strip電阻技術使用實心銅端子(圖3項2),與低TCR電阻合金(項1)焊接,阻值低至0.1mΩ并實現低TCR。但是,銅端子TCR (3,900ppm/℃)高于電阻合金(

圖4:Metal Strip電阻技術
低阻值銅端子與電阻層合金連接,流經電阻層的電流可以均勻分布,提高電流測量精確度。圖5顯示銅端子與低TCR電阻合金組合對總電阻的影響,最低阻值相同結構情況下,銅端子在TCR性能中變得更為重要。

圖5:銅端子與低TCR電阻合金組合對總電阻的影響
凱爾文端子與2端子
凱爾文(4端子)結構具有兩個優點:改進電流測量重復性和TCR性能。缺口結構減少銅端子在電路中的面積。關于凱爾文端子與2端子2512的對比參見表2。

表2:凱爾文端子與2端子2512比較
兩個關鍵問題:
為什么缺口不切透電阻合金以獲得最佳TCR?
銅可以降低測量電流的連接電阻。在電阻合金上開槽會造成電阻合金測量部分無電流,從而導致測量電壓升高。缺口是在銅TCR影響與測量精準度和重復性之間所做的一種折衷。

圖6:缺口是在銅TCR影響與測量精準度和重復性之間所做的一種折衷
可以使用4端子焊盤設計獲得同樣的結果嗎?
不可以。雖然4端子焊盤設計確實提高了測量重復性,但不能消除測量電路中銅的影響,額定TCR仍然一樣。
包覆結構與焊接
端子的構成可在電阻層覆上薄銅層,這將影響TCR額定值和測量重復性。薄銅層采用包覆方法或電鍍來實現。包覆結構利用極大壓力,以機械方式將銅片與電阻合金連接在一起,材料之間形成均勻接口。兩種構造方法中,銅層厚度通常為千分之幾英吋,最大限度減小銅的影響并改進TCR。其代價是電阻安裝到基板上,阻值會略有漂移,因為薄銅層不能在高電阻合金中均勻分布電流。某些情況下,板載電阻漂移可能遠大于不同電阻類型之間的TCR影響。
所有數據表的創建并非對等
一些制造商只列出電阻層TCR,這只是整體性能的一部分,因為忽略了端接影響。這個關鍵參數是包括端接影響的組件TCR,即電阻在應用中的表現。
其他方面,TCR特性適用于有限溫度范圍,如20~60℃,也有更寬范圍的情況,如-55~+155℃。電阻進行對比時,有限額定溫度范圍的電阻性能優于更寬額定范圍的電阻。TCR性能通常是非線性的,負溫度范圍內表現較差。請參閱圖7,了解同一電阻不同溫度范圍的差異。

圖7:同一電阻不同溫度范圍的差異
如果數據表中列出一系列阻值的TCR,由于端接影響,其中的最低阻值確定極限。相同范圍內高阻值電阻的TCR可能接近于零,因為總電阻大部分源于低TCR電阻合金。這種圖表對比需要澄清的另一點是,電阻并不總是具有這樣的斜率,有時可能比較平。這取決于兩種材料TCR與阻值的相互作用。
總之,影響TCR的因素很多,數據表可能未提供所需信息或所需詳細信息。作為線路設計,如果需要其他信息支持你的決定,應與組件供應商技術部門聯系。
(來源:電子工程專輯,作者:Bryan Yarborough,Vishay Intertechnology Vishay Dal)
免責聲明:本文為轉載文章,轉載此文目的在于傳遞更多信息,版權歸原作者所有。本文所用視頻、圖片、文字如涉及作品版權問題,請電話或者郵箱editor@52solution.com聯系小編進行侵刪。
推薦閱讀:





