【導讀】功率電感是分帶磁罩和不帶磁罩兩種,主要由磁芯和銅線組成。 在電路中主要起濾波和振蕩作用。
功率電感是分帶磁罩和不帶磁罩兩種,主要由磁芯和銅線組成。 在電路中主要起濾波和振蕩作用。
綜合前面幾節的說明,我們對功率電感儲能關系做一個總結,方便讀者理解和查閱。
氣隙電感

氣隙電感示意圖
儲能關系
如下式,"磁芯儲能Ec"、"氣隙儲能Eg"以及"總儲能E",我們應該如何理解?

儲能關系
從上面式子可以看出,對于"氣隙規則磁芯(EE、EFD、EPC系列型、環形等)"當
"稀釋系數Z"越大,儲能會越大,這個可以從總儲能③中可以看出;
"稀釋系數Z"越大則表明氣隙lg越大,這個可以從上面"Z"的表達式清楚地看到;
但必須清楚,如果保電感匝數和電流不變,當氣隙lg越大,那么意味著磁路中"磁阻Rm"會增大,進而意味著磁通密度"B"是減小的,如下⑤式可以清楚看到。所以,不能單純地認為,增加氣隙就一定能增大儲能,你必須控制變量。

稀釋系數的地位
儲能關系變換
把⑤式磁感應強度帶入①、②和③得到如下,儲能變換式

儲能關系變換
(1)安匝(N*I)保持不變時,承接上面敘述,當保持"安(A,電流是由負載決定的)匝(N,電感線圈匝數)"不變時(為常數),不斷增加氣隙時,能量關系圖如下:

從圖中可以看出,當稀釋系數Z=2時,磁芯和氣隙儲能是相等的(兩條曲線相交),但隨著氣隙的增長,總儲能"E"是減小的,氣隙儲能"Eg"也是減小的,磁芯儲能"Ec"也是減小的,但磁芯儲能減小的更快。
(2)磁感應強度或磁通密度保持不變時,


從圖中可以看出,當保持磁通密度不變時,增加氣隙時,總能量"E"是不斷增加的,但當你要保持磁通密度不變時,從下面⑤中可以看出,必須不斷增加匝數(電感電流是負載決定的,認為是不變的),即保持"N/Z"是常數。

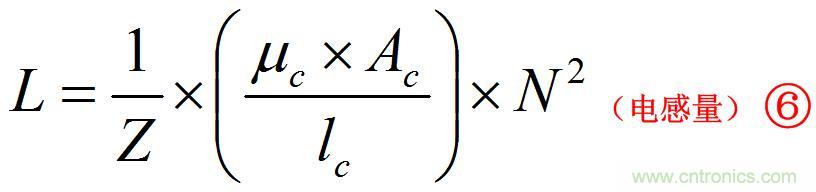
那么,我們怎樣去理解這些參數的"變"與"不變"以及儲能關系呢?我們實際當中究竟以什么做為我們的設計呢?因為關系多了,就容易發生混亂,我們只需要把握住一點就可以了,電源中我們設計電感,通常還是以電感量為設計目標,因為它可以衡量電流紋波問題(實質是可以產生我們想要的磁通密度,阻止電流的變化甚至是突變)所以,最終我們無論怎樣加氣隙,要保持電感量恒定。
(3)電感量保持不變,如下⑥式可以看出,只需要保持"N2/Z"是一個常數,同上述(2)保持磁通密度類似,也就是增加氣隙的同時,你需要不斷增加"匝數"才能保證電感量不變。

更進一步我們,來說明當"N2/Z"是一個常數,也就是電感量保持不變時,可以從"①"看出,總能量E是保持不變的。


繪制能量關系圖,從圖形中可以看出,通過保持"N2/Z"為常數,使得電感保持不變時,總能量E是一個常數,且隨著氣隙增大時,能量幾乎存儲在氣隙里面了,但總能量E是保持不變的。
那么既然總能量E保持不變了,那么開氣隙的意義究竟是什么呢?這樣情況下,加入氣隙,并沒有改變存儲能量的能力,但卻改變了能量的分配比,也就是說磁芯的磁感應強度或者磁通密度"B"距離磁芯材料的飽和密度Bsat大大增強,即B2sat*Z保持不變時,當Z增加,當然Bsat當然是減小的了,這就是使得磁通密度距離飽和磁通密度余量極度增強(強調一點,磁材料的飽和磁通密度是不能改變的)。

帶飽和磁通密度的儲能關系
這就是,加入氣隙的意義,距離飽和磁通密度余量增強,下面圖示,紅色是加入氣隙的磁滯回線,變化更加溫和了,異常情況下磁芯不會進入瞬間的飽和,使得磁性元器件和變換器工作更加可靠。

加入氣隙后磁滯回線的優化
這也就是,我們常說的,為什么加入氣隙能夠防止飽和原因了。
理解概念是基本點。
附:
相對磁導率"ur"
這里還需要必須理解什么是相對率"ur",那就是磁芯本質屬性的絕對磁導率"uc"相對于真空或者空氣"u0"的一種無量綱比值,稱為相對磁導率,弄清楚"相對對象"就容易記清楚了,不再混淆了。
解析巨磁電阻的工作原理及作用
如何讓DSP數字振蕩器產生移相正弦波?
詳解電阻加熱的方法有哪幾種?
簡析電容傳感器原理
在RF檢波器中的二極管為何是不可替代的?




