中心議題:
- 城市軌道交通控制系統和電源系統需要加裝濾波器
- 介紹電源濾波器的基本概念、參數選取以及安裝原則等幾個方面
- 分析電源濾波器得出相關結論
解決方案:
- 安裝無源EMI濾波器,減少干擾和衰減
- 采用橫截面積較大的磁芯繞制成多匝線圈,得到共模電感,減小差模電感
- 串聯電感和并聯的濾波電容不能選擇太大
- 正確安裝濾波器,獲得預期的衰減特性
引 言
為了符合國際電磁兼容標準的要求,使用高頻開關器件的電源電子電路必須安裝合適的電磁干擾濾波器(以下簡稱EMI濾波器),以阻止頻率范圍為150kHz~30MHz的傳導干擾侵入電源網絡。由于城市軌道交通的特殊性,其共模和差模干擾很容易引起車載設備傳導和輻射干擾升高,使其無法達到電磁兼容標準的要求。為此,必須在導線和電子設備之間的供電部分安裝一個合適的無源EMI濾波器,將干擾衰減到所要求的程度。
常用設計濾波器的公式和圖表是在其源阻抗和負載阻抗匹配情況下得出的。而EMI濾波器存在阻抗失配問題,因此在這種濾波器的實際設計中通常采用試探法。但采用試探法時,由于高頻時寄生參數起主導作用以及對噪聲源的內阻抗不了解,使得選擇正確的設計參數值變得非常困難。對于共模干擾尤其如此,因為其大小在很大程度上就取決于電路的布置和電路的寄生參數。
本文結合研究和設計電源濾波器的實踐,在簡化電源濾波器設計過程的同時,仍能滿足實際應用場合的需要。
電源濾波器中共模扼流圈內磁通的分析
電源濾波器中共模扼流圈的作用,一般采用以下論述:“共模扼流圈管芯兩側的磁場相互抵消,因此不存在磁通使管芯飽和”。盡管這種論述對共模扼流圈作用的直覺敘述具體化了,但實質并非如此。因為根據電磁場理論中的麥克斯韋方程,可以得到以下結果:
假設電流密度J產生磁場H,則附近的另一個電流不會抵消或阻止磁場或由此而產生的電場;
同樣一個相鄰的電流可以導致磁場路徑的改變;
在環形共模電感的特殊場合中,每條引線中的差模電流密度可假定是相等的,且方向相反。由此而產生的磁場必定在環形磁芯周邊上的總和為零,而在其外部的總和則不為零。
磁芯的作用就好像它在線圈繞組的間隙處裂為兩半時所表現出來的效果一樣。每個繞組在環形線圈一半的區域內產生磁場,意指穿過空氣的磁場必定會形成自封閉回路。圖1是環形磁芯和差模電流磁路的示意圖。
為了得到共模電感,同時使差模電感最小,設計時最好采用橫截面積較大的磁芯繞制成多匝線圈。采用較大的螺旋管磁芯(并非一定要采用這樣的磁芯)可在共模扼流圈內并入有效的差模電感。由于差模磁通是遠離磁芯(環形結構)的,因此可能會產生極強的輻射,尤其是濾波器安裝在印刷電路板( PCB)上時,這種輻射可以耦合到電源線,使傳導發射增強。當磁性材料被帶到場內時(例如環形磁芯放置在鐵殼里),差模磁導率就會顯著地增加,從而由于差模電流導致磁芯的飽和。
為了實現有效的濾波器設計,必須解決磁通離開磁芯引起的輻射問題。具體解決辦法有兩種:或將差模磁通限制在磁性結構物體中(壺形鐵芯),或為差模磁通(E形鐵芯)提供一條高磁導率的路徑。
電源濾波器設計參數的選取
由于電源濾波器接主電源線,因此在設計中除了要考慮源阻抗和負載阻抗不匹配的因素之外,還必須考慮其對串聯電感的電感量和并聯電容的電容量的嚴格限制。濾波器中所采用的串聯電感受到電源頻率下允許電壓降的限制,不能選擇太大;并聯的濾波電容受到允許接地漏電流的限制,也不能選擇太大。由于以上限制,往往很難同時滿足對濾波器插入損耗的要求。
電源EMI濾波器允許的最大串聯電感
設濾波器中串聯電感器的電感量為L,等效電阻為R,電網頻率為ωm,網側額定工作電流為Im。在電網頻率下,電感器上的壓降為:

考慮到電網中可能產生的浪涌電流的影響,通常ΔU被限制在額定工作電壓的10%以內。若忽略R上的電壓降,設允許電感器上的電壓降為ΔUmax,則允許的最大串接電感值為:

電源EMI濾波器允許的最大濾波電容
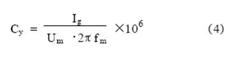
電源EMI濾波器中的濾波電容器通常接在相線與大地之間。該電容容量過大時將造成漏電流過大,從而危及人身安全。其漏電流值為:

由式(3)可得到在電源EMI濾波器中允許采用的濾波電容為:

式中:Um為電網電壓,V;fm為電網頻率,Hz;Ig為允許的接地漏電流,mA。
基于以上分析,對電源濾波器中串聯電感及并聯電容最大值的限制,可以得到LC乘積的最大值為:

對于小功率的電子設備而言,LmaxCy,max的值通常為100μHμF,這是一個非常小的數值。以單級LC濾波器為例,為簡化分析,用電壓衰減來代替插入損耗,可得此時插入損耗為:
若取LmaxCymax值為100μHμF,頻率為150kHz,則插入損耗為:

電源濾波器的安裝
電源濾波器的安裝質量對衰減特性影響很大,只有將濾波器正確地安裝在設備上,才能獲得預期的衰減特性。
濾波器的安裝應遵循以下幾個原則:
(1)電源供電線路的電源濾波器應安裝在設備或屏蔽殼體的電源入口處,并對濾波器加以屏蔽,屏蔽體應與設備殼體良好搭接;
(2)對于城市軌道交通等載運工具,電動機以及各種電器開關裝置等干擾源應與其電源濾波器安裝在同一屏蔽箱體內,濾波器裝在電源入口處,電源輸入線不應在箱體內裸露;
(3)濾波器中電容器引線應盡可能短,以避免感抗與容抗在較低頻率上發生諧振,電容應與其它元件正交安裝,減小相互間耦合;
(4)濾波器的接地導線上有很大短路電流通過,會造成有害電磁輻射,因此濾波器抑制元件自身要進行良好的電磁屏蔽和接地處理;
5)濾波器的輸入和輸出引線不能交叉,在輸入引線和輸出引線之間應有屏蔽層,否則會降低濾波器的濾波特性。
結 論
(1)電源濾波器中共模扼流圈內既存在共模磁通也存在差模磁通。為了得到共模電感,同時使差模電感最小,設計時最好采用橫截面積較大的磁芯繞制成多匝線圈,另外必須解決磁通離開磁芯引起的輻射問題。
(2)在電源濾波器設計中除了要考慮源阻抗和負載阻抗不匹配的因素之外,還必須考慮其對串聯電感的電感量及并聯電容的電容量的嚴格限制,以滿足對濾波器插入損耗的要求。
(3)電源濾波器的安裝質量對其衰減特性影響很大,必須遵循相關原則將濾波器正確安裝在設備上,以獲得預期的衰減特性。
(4)由于城市軌道交通的控制系統和電源系統所處的電磁環境非常惡劣,為減少由于電磁干擾引起的車載設備誤動作,保證人身安全,必須針對其電源及傳輸線加裝濾波器。


