導讀:目前,在各種電子設備和現代通信設備中,為了在各種不同工作條件下滿足某些要求或實現規定的一些技術指標,反饋控制電路已經被廣泛應用。本文首先對反饋控制電路的相關概念及原理作以介紹,然后針對本文設計的直流開關電源中的反饋控制電路具體設計過程進行了詳細分析。
作為電子設備和系統中的一種自動調節電路,反饋控制電路主要作用就是當電子系統受到某種擾動情況下,系統能通過自身反饋控制電路的調節作用,對系統某些參數加以修正,從而使系統各項指標仍然達到預定精度。反饋控制電路通常由比較器、控制信號發生器、可控器件和反饋網絡四部分組成一個負反饋閉合環路,如圖1 所示。

圖1 反饋控制電路組成示意圖
本著小型化、小功率和高效率的設計思想,本文設計的反饋控制電路對應的直流開關電源主要技術要求如下:
輸入交流電壓:VACMIN=85V;VACMAX=265V;輸入電壓頻率:fL=50Hz;輸出電壓:VO=36V;輸出功率:PO=72W;電源效率:η=80%;損耗因子Z:Z=0.6(Z 表示次級損耗與總損耗之比)。
對應的直流開關電源組成如圖2 所示:

圖2 反饋控制電路對應的直流開關電源組成示意圖
1.反饋控制電路設計過程
開關電源中的反饋控制電路是用來保證在負載變化的情況下輸出電壓、電流的穩定。本文設計的反饋控制電路對應的直流開關電源是使用PWM 脈寬調制來保持輸出電壓的穩定。其中PWM 調制分為電流控制方式和電壓控制方式,與后者相比,前者具有更好的電壓調整率和負載調整率,在減少元器件數量、降低成本、提高開關電源功率的同時,又可進一步確保系統的穩定性并使系統動態特性明顯改善,尤其對系統的小型化、模塊化、高效化具有重要意義。
另外,直流開關電源通常用的反饋為負反饋。在反饋中,通常采用的反饋有使用初級反饋成本最低(僅適于低功率的應用) ;使用光耦器/穩壓管反饋成本低且輸出精度好;另外使用光耦器/TL431 反饋則輸出精度最好。考慮到本文設計所體現出的小功率、高效率的原則,所以決定采用三端分流穩壓管TL431 和光耦PC817 配合的PWM 型電流調節控制方式,分別進行參考、取樣、隔離、放大,從而組成負反饋環路。
1.1 反饋控制電路原理與設計
本文設計的反饋控制電路如圖3 所示,其基本控制原理為:當輸出電壓經過R11和R12分壓后可得到采樣電壓,然后該采樣電壓與TL431 提供的2.5V 基準參考電壓加以比較,當輸出電壓正常時,則采樣電壓與TL431 的基準電壓2.5V 基本相等,所以TL431 的陰極電位保持不變,流過光耦中的發光二極管的電流也保持不變,從而TOP247Y 芯片的控制腳C 的電壓穩定,則控制驅動占空比不變,輸出的電壓就保持穩定。當輸出電壓與期望電壓偏低時,經過分壓電阻R11、R12分壓后得到的分壓值就比2.5V 低,TL431 的陰極電位升高,流經過光耦中發光二極管的電流減小,則流過光耦的CE 極的電流也降低,TOP247 的控制引腳C 的電位升高,使占空比增大,從而導致輸出電壓增大,以此來使輸出保持穩定。當輸出電壓與期望電壓偏高時,經過分壓電阻R11、R12分壓后得到的分壓值就比2.5V 高,TL431 的陰極電位降低,流經過光耦中的發光二極管的電流增大,則流過光耦的CE 極的電流也升高,TOP247 的控制引腳C 的電位降低,使占空比減小,從而使得輸出電壓降低,以此來使輸出穩定。

圖3 反饋控制電路示意圖
1.2 TL431 及電阻分壓器的參數設置與分析
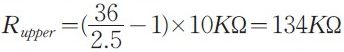
TL431 是一個可調的三端穩壓管,利用外部電阻分壓器可以設定2.5V-36V 范圍內任意基準電壓值。TL431 動態阻抗低,典型值為0.2歐姆。如圖3 所示,通過電阻分壓器R11 和R12 獲取電壓,與TL431 的基準電壓2.5V 加以比較構成誤差放大器,然后經過PC817 的電流變化來進一步控制TOP247Y 的輸出占空比的變化。從TL431 技術參數可知,陰極工作電壓的允許范圍為2.5V-36V,陰極工作電流則在1~100mA 范圍內變化。一般陰極電流選擇為20mA,這樣不但能穩定工作而且能提供一部分死電阻。
假設流經橋分壓器的電流為250uA,由于TL431 的參考電壓為2.5V,則:

又由于輸出電壓UO:

所以可以得到:

[page]
1.3 反饋補償電路分析與設計
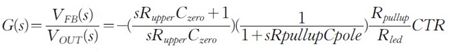
在沒有加入電容CZERO時,反饋環路傳遞函數為:

在圖3 中,不難發現,LED 在二級LC 濾波器之前連接,這也就避免了當LC 網絡開始諧振時在高頻區產生增益。當然,通過LC 濾波器也可以降低高頻噪音。選擇該濾波器諧振頻率應為所選交叉頻率的10倍以上以避免相互干擾。
另外,在加上電容Czero之后,則可以得到在原點處引入一個極點,此時完整反饋環路傳遞函數為:

容易發現,在原點處存在極點fpo和由快車道結構引入的極點fz.由于在本文設計中使用的為放大器類型2,因此需要在其它地方的極點fp.
這樣,我們可在輸出節點與地之間加入一個電容,可以得到最終控制式:

這樣,就可以求出極點和零點位置:

因此,下面就可以應用K 因子法來設計所需要的放大器類型2:
交叉頻率=1kHz;需要的相位裕度=70o;交叉頻率處增益衰減Gfc=-20dB;交叉頻率處的相位=-55o,K 因子計算為:k=4.5;fz=222kHz;fp=4.5kHz;G=10;CTR=0.8.
根據上面已經得到的幾個公式,可以得到:

到此為止,則完成了整個關于反饋網絡的設計過程。
2.實驗結果
根據以上反饋控制電路的具體設計方案及上述數據采用HSpice進行仿真,仿真結果如圖4 所示。認真觀察后,從系統波形上就不難發現,系統具有明顯的穩定性和可靠性。

圖4 工作于DCM 或CCM 電流模式波特圖
3.結論
本文通過采用光耦817 和三端分流穩壓管TL431 相結合的PWM 型電流調節方式對直流開關電源的反饋控制電路進行設計,設計結果較好地體現出了小型化、小功率、高效率的特點。實驗結果表明系統具有較好的穩定性和可靠性。





