【導讀】本文通過計算可以驗證這種重新配置反饋網絡以調整輸出電壓的方法,并為其它使用數字基準電壓的數字電源控制器,向后兼容模擬控制器提供思路,增強了數字電源解決方案的靈活性。
最近超大規模集成技術的發展擴寬了數字控制應用范圍,尤其是在電源電子元件方面的應用。數字控制IC具有多種優勢,比如裸片尺寸更小、無源元件數量更少、成本更低。另外,數字控制可利用電源管理總線(PMBus)來完成系統配置;高級控制算法能改善性能;可編程性則可實現應用優化。隨著數字電源管理的進一步普及并代替大量模擬控制器,它必須保持現有功能的向后兼容性,從而使數字電源模塊和模擬電源模塊均可在同一個系統中工作。
模擬電源模塊中一般使用輸出電壓調整,這樣最終用戶可以通過外部電阻更改電源模塊的輸出電壓。它具有增強的靈活性,允許將某些經過選擇的標準模塊用到幾乎所有應用中,而無論電壓要求如何。 圖1顯示AGF600-48S30模擬電源模塊中調整輸出電壓的典型配置。
輸出電壓可通過改變連接電源模塊正輸出端或接地端的電阻來進行調節通過連接外部電阻RUP并使RDOWN浮空,可以向上調整輸出電壓(高于標稱輸出電壓),或者通過連接外部電阻RDOWN并使RUP短路(電阻值為零)向下調整(低于標稱輸出電壓)。

圖1:調整AGF600-48S30 DC-DC轉換器的輸出電壓
在模擬解決方案中,RUP和RDOWN可改變誤差放大器的基準電壓。 誤差放大器利用電阻分壓器感測輸出電壓,分壓器通過負反饋連接誤差放大器的反相輸入端。誤差放大器的輸出電壓控制驅動信號的占空比,進而設置輸出電壓。因此,輸出電壓隨基準電壓的變化而改變,而RUP或RDOWN可以改變基準電壓,進而向上或向下調整輸出電壓。
圖2顯示兩種廣泛用于模擬電源模塊中的調壓方式。圖2(a)中的模擬控制器引腳允許外部電阻 RDOWN降低誤差放大器同相輸入端的電壓,從而降低輸出電壓。外部電阻RUP與電阻分壓器串聯連接,可降低施加在誤差放大器反相輸入端的電壓,從而增加輸出電壓。圖2(b)中的模擬控制器不提供針對內部基準電壓的訪問,但可以加入一個外部誤差放大器和基準電壓源,以便對輸出電壓進行調整。外部放大器輸出端與內部放大器輸出端相連,有效地旁路了內部誤差放大器。然后,基準電壓可采用之前的相同電路進行配置,從而以同樣的方式對兩個電源模塊進行調整。
圖2:利用(a)帶有可配置內部基準電壓的模擬控制器或者
(b)帶有固定內部基準電壓的模擬控制器調整模擬電源模塊的輸出電壓
(b)帶有固定內部基準電壓的模擬控制器調整模擬電源模塊的輸出電壓
該器件非常適合高密度DC-DC電源轉換,具有6個可編程脈沖寬度調制(PWM)輸出,可控制大部分高效電源拓撲。另外,該器件還能控制同步整流(SR),并集成6個模數轉換器(ADC),能夠采樣模擬輸入電壓、輸入電流、輸出電壓、輸出電流、溫度以及其它參數。轉換為數據后,將這些信號發送至數字內核模塊進行處理。該器件采用靈活的狀態機架構,以硬件實現全部功能,提供穩定可靠的解決方案,但無法通過編程實現設計以外的功能。器件的全部功能--包括輸出電壓調整--均以數字方式處理。為了調整輸出電壓,應通過PMBus接口發送一條命令,改變數字基準電壓值。
圖3:數字控制器ADP1051功能框圖
考慮整個控制環路,輸出電壓通過電壓分壓器或者運算放大器縮放到合適的值,然后輸入給VS+引腳。ADC對該電壓進行采樣。數字內核知道數字化的輸出電壓值只采用邏輯電平信號工作,因此無法使用外部基準電壓并旁路內部比較器和濾波器。受限于這種固定的硬件配置,向后兼容現有模擬調整功能的唯一途徑是調節VS+引腳上的ADC檢測電壓。一種方法是重新配置反饋網絡。
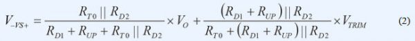
圖4中RD1和RD2構成標準反饋網絡--一個簡單的電阻分壓器,可在ADC檢測輸出電壓之前對其進行調節。 檢測電壓為:

其中,VO是電源模塊的實際輸出電壓。采用標準反饋網絡,則輸出電壓無法以模擬方式調整。如圖4所示,通過加入RUP、RT0和VTRIM的方式重新配置反饋網絡可對比例輸出電壓進行調節。于是檢測電壓為:

VS+引腳上的正常工作電壓為1V。若 VTRIM為1V左右且RT0遠大于RD2,則可忽略電路的其余分支部分。復合網絡用作簡單分壓器,并調節RUP電阻值,提供類似于模擬控制器的特性,實現了模擬電源模塊中的電壓向上調整。

圖4:ADP1051可調整反饋網絡
然而,提供向下調整能力則要更為復雜。數字控制器不知道系統應當輸出的確切電壓值,因此它會嘗試最大程度降低VVS+ 和內部數字基準電壓之間的誤差。VVS+將始終隨內部數字基準電壓的變化而改變,其典型值設為1 V。等式2顯示VO與VTRIM呈線性關系。由圖2可知,向下調整輸出電壓的機制是產生一個表示所需輸出電壓與標稱輸出電壓之差的誤差電壓。內部的基準電壓將先會減去這個誤差電壓,然后才會加到誤差放大器的同相端。若在誤差放大器的反相輸入端加入相同的電壓差,則兩個電路都將具有相同的輸出結果。因此, VTRIM應當與所需的輸出電壓和標稱電壓之差成比例,而非采用固定值。
圖5中的電路具有兼容模擬向上或者向下調壓的功能兩個電阻分壓器產生兩個基準電壓,其中一個基準電壓表示模擬控制器所需的輸出基準電壓,另一個表示內部基準電壓。利用一個電壓跟隨器來避免所需的輸出基準電壓與后續電路相互影響。利用AD822 FET輸入運算放大器,將所需的輸出基準電壓(V1)從模擬控制器的內部基準電壓(V2)中去除,得到所需的電壓差。此電路的線性放大增益確保了VTRIM足夠大,從而能對VVS+產生影響。
目標輸出電壓調整特性的定義參見AGF600-48S30數據手冊。表1顯示了一組應用于新配置反饋網絡中的參數,采用此組參數,可以使其兼容模擬電源模塊電壓調整特性:

表1:圖5所示電路的電阻值
采用等式2和表1中的數值,便可計算輸出電壓調整特性。圖6顯示結果曲線。目標值和計算值之間的誤差由重新配置的反饋網絡產生。該誤差極小(標稱輸出電壓為30 V時,該誤差值不足0.1 V),這表示該電路的輸出結果良好。
圖5:重新配置反饋網絡,方便進行模擬輸出調整
圖6:使用重新配置的反饋網絡后,調整ADP1051輸出電壓的計算結果:(a)向下調整 (b)向上調整
這里我們通過計算可以驗證這種重新配置反饋網絡以調整輸出電壓的方法,并為其它使用數字基準電壓的數字電源控制器--比如 ADM1041A、ADP1046A、ADP1050和ADP1053等--向后兼容模擬控制器提供思路,增強了數字電源解決方案的靈活性。




