【導讀】如果PCB上線條的厚度和寬度不變,并且走線和返回平面間距離不變,那么信號感受到的瞬態阻抗就不變,傳輸線是均勻的。對于均勻傳輸線,恒定的瞬態阻抗說明了傳輸線的特性,稱為特性阻抗。
阻抗的均勻穩定,對信號的傳輸至關重要,所以,本文聊一聊阻抗。

瞬態阻抗

當信號在傳輸線上傳播時,信號感受到的瞬態阻抗與單位長度電容和材料的介電常數有關,可表示為:

這個公式的推導過程如

而電流的推導可以由以下式子求得:

如果PCB上線條的厚度和寬度不變,并且走線和返回平面間距離不變,那么信號感受到的瞬態阻抗就不變,傳輸線是均勻的。對于均勻傳輸線,恒定的瞬態阻抗說明了傳輸線的特性,稱為特性阻抗。

2. 特性阻抗
對于均勻傳輸線,當信號在上面傳播時,在任何一處受到的瞬態阻抗都是相同的。在瞬態阻抗不變時,我們將其稱為特性阻抗。
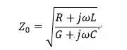
傳輸線的特性阻抗Z0定義為線上任意點的電壓和電流的比值,即Z0=V/I. 由電報方程可以推導出阻抗的經典計算公式:

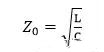
如果PCB上線條的厚度增大或者寬度增加,單位長度電容增加,特性阻抗就變小。同樣,走線和返回平面間距離減小,電容增大,特性阻抗也減小。其中,R、L、G、C分別表示單位長度的電阻、電感、電導和電容。通常,因為R和G都比其他項要小得多而忽略不計,特征阻抗近似為

重要推導之一:50 歐姆阻抗的計算由來
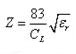
由特性阻抗的公式,可以看出只要傳輸線的橫截面和材料特性這兩個參數保持不變,信號受到的瞬態阻抗就是一個常數。由于信號的的速度取決于材料特性,所以,可以得出傳輸線單位長度電容和瞬態阻抗的關系。例如,若介電常數為4,單位長度電容為3.3pf/in,則傳輸線的瞬態阻抗為,

重要推導之二:自由空間的特性阻抗
一個很重要的特性阻抗就是自由空間的特性阻抗,也叫自由空間的波阻抗,在EMC中非常重要。自由空間特性阻抗為 。
重要推導之三:單位長度電容與單位長度電感
FR4板材的PCB板上,特性阻抗傳輸線另一個特性是:
單位長度電容=3.3pF/in
單位長度電感=8.3nH/i
解這些特殊的特性阻抗,對于設計電路板有重要的參考意義,能讓我們在制作電路前有個直覺的認識。
免責聲明:本文為轉載文章,轉載此文目的在于傳遞更多信息,版權歸原作者所有。本文所用視頻、圖片、文字如涉及作品版權問題,請電話或者郵箱editor@52solution.com聯系小編進行侵刪。
推薦閱讀:





