中心論題:
- 微變電容式傳感器的設計
- 微變電容式傳感器應用實例
解決方案:
- 同軸電纜
- 高低頻信號分離電路
- 高頻特性檢測電路
- 低頻特性檢測電路和嵌入式系統
微變電容式傳感器是為邊境線、獄墻等場合的需要而設計的.該設計以傳輸線理論為基礎, 采用FFT 算法和相位微分法檢測與處理信號, 利用同軸電纜的低頻特性高靈敏地探測被測量, 利用其高頻特性測量被測量產生的位置.該傳感器在獄墻報警系統中的應用結果表明, 微變電容式傳感器最大定位相對誤差小于6.0% , 誤警率小于0.3% , 漏警率小于0.2% .
在邊境線、獄墻等需要安全防范的特殊場合, 因為需要防范的區域較大, 而且不宜暴露傳感器安裝位置.常見的紅外、微波和超聲等無線傳感器極易受外界環境的影響, 誤檢和漏檢率均較大, 不適合在上述特殊區域的安全防范中應用.利用同軸電纜為敏感器件的傳感器, 具有布防方便、檢測準確等優點. 作者利用同軸電纜的分布電容對外力敏感的特性設計了一種微變電容式傳感器. 由于在傳感器的整個工作過程中, 分布電容的變化量與分布電容本身的值相比非常小, 因此稱該傳感器為微變電容式傳感器.
微變電容式傳感器的設計
a.基本原理
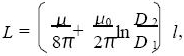
因為同軸電纜的分布電容與分布電感比較均勻且穩定, 其特性阻抗基本保持不變.同軸電纜的分布電容為
分布電感為

式中l為同軸電纜長度; E為填充介質的介電常數;D1 為芯線直徑;D2 為屏蔽網的內徑; L為填充介質的磁導率; μ0 為真空磁導率. 同軸電纜的分布電容與電感除與其長度成正比外, 還與屏蔽網的內徑和形狀密切相關。當同軸電纜足夠長時, 其分布電感均比較大; 此時外力引起的同軸電纜變形只會引起分布電容和分布電感的微小變化。因為分布電容與分布電感的變化趨勢相反, 在設計該傳感器時, 為了突出分布電容對傳感器性能的影響, 要在同軸電纜的芯線上串接一個較大的電感,使分布電感的變化率遠遠小于分布電容的變化率。同軸電纜的特性阻抗為

其大小與長度無關, 局部變形的同軸電纜的D2 和D1 的變化明顯。當外力使同軸電纜局部變形時, 其特性阻抗局部變化量較大。
設計的微變電容式傳感器的原理框圖如圖1 所示。該傳感器由同軸電纜、高低頻信號分離電路、高頻特性檢測電路、低頻特性檢測電路和嵌入式系統等組成。高頻特性檢測電路監測同軸電纜特性阻抗的變化, 而低頻特性監測電路則監測同軸電纜分布電容的變化, 兩電路相互補充完成對同軸電纜的局部變形的監測和定位。

b.低頻特性檢測
低頻特性檢測電路的核心是低頻LC 振蕩器.該振蕩器以同軸電纜的分布電容為諧振電容,以分布電感為諧振電感; 在同軸電纜沒有局部變形時, 振蕩器的諧振頻率比較穩定, 其振蕩頻率為

為了使振蕩頻率具有可控性且消除分布電感的變化對傳感器性能的影響,在具體應用時,可以在同軸電纜的芯線處串聯一較大的電感L;此時, 分布電感的作用可以忽略不記, 低頻振蕩器的輸出頻率變為

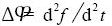
經驗表明, f0 在1~ 100 kHz 時傳感器的性能比較穩定. 由低頻振蕩器產生的低頻信號經放大整形后輸出到嵌入式系統的計數器輸入端. 嵌入式系統依據計數器測得的低頻振蕩器的振蕩頻率, 延時約10 s 后, 控制壓控振蕩器, 使鑒相器的輸出為0.當外力使同軸電纜變形時, 因D2 與D1 的比值改變, 低頻振蕩器的輸出頻率產生微小變化.外力的頻率分量遠遠小于低頻振蕩器的諧振頻率f , 且遠遠大于0.1 Hz.此時鑒相器的輸出值為振蕩頻率的二次微分, 即

該電路的檢測靈敏度很高,對同軸電纜的分布電容的微小變化比較敏感.
因為在該電路中采用了對振蕩頻率的延時跟蹤技術, 而同軸電纜因外界環境或性能改變而引起的頻偏是≤0.1 Hz 的慢變化, 對檢測結果幾乎不會產生任何影響.當同軸電纜受到人為觸碰、踩壓時, 同軸電纜的分布電容會產生微小的變化, 當鑒相器的輸出超過一定限值時, 傳感器的低頻特性檢測電路將輸出開關量報警信號.
c.高頻特性檢測
為了消除高頻信號在同軸電纜的遠端產生的反射, 一般在同軸電纜的遠端接一匹配阻抗.由高頻信號發生器產生的900MHz 的高頻信號經100 Hz 的脈沖信號調制后輸出到同軸電纜, 高頻信號傳輸到同軸電纜的遠端后, 被匹配阻抗吸收轉換為熱能.當同軸電纜的某處受外力而變形時, 局部特性阻抗發生變化, 形成駐波比大于0 的駐波點, 高頻信號產生強反射. 反射回高低頻信號分離電路的高頻信號又會產生反射Z高頻信號在同軸電纜中傳輸時, 能量逐漸衰減. 由高低頻信號分離電路耦合到放大混頻電路的高頻信號的持續時間和幅度除與同軸電纜受外力的大小有關外, 還與外力所處的位置有密切的關系Z混頻后的高頻信號經低頻濾波電路的作用后, 輸出攜帶外力位置的脈沖信號. 該脈沖信號與原調制
脈沖相比產生了較大的畸變. 為了提取同軸電纜受力后局部變形的空間位置, 利用嵌入式系統對攜帶外力信息的低頻脈沖信號進行處理, 得到如圖2 所示的信號頻譜.

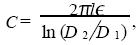
在該頻譜圖中, f 低于2 kHz 時的頻譜的形狀與原調制信號的頻譜的形狀相似Z 脈沖畸變引起的信號頻譜的變化主要表現是: 在3 kHz 到5MHz 頻段內會出現一個與駐波點位置密切相關的較大峰值.該峰值的頻率f0 除與駐波點位置有關外, 還與同軸電纜的品質、高低頻信號分離電路的特性等有關. 經大量的測試證明, 在對傳感器進行校正后, f只與駐波點位置(即同軸電纜受力位置) 有關, 且f與駐波點和高低頻信號分離電路之間的距離d 呈非線性關系.在1m < d < 1km 時, f2= K/d2+ P ,其中K 為與同軸電纜品質相關的常數, P 為與傳感器的電路相關的常數.
嵌入式系統采用ARM9 處理器S3C2410 作為主處理器, 工作頻率為203MHz. 為了與常用的儀表通信, 配備了RS485 口和USB 口. 采用uClinux為系統的操作系統, FFT、距離運算和傳感器的控制均由S3C2410 完成.
該傳感器本身具有較強的信號處理能力, 它可以作為一個單獨的報警裝置使用, 完成某些場合的報警功能; 也可與其他儀表或微機配合使用, 完成對微弱作用力、受力位置、電纜故障位置等被測量的監測.它可以廣泛應用于國境線防偷渡、監獄獄墻防越獄、埋設電纜故障定位、重要道口車流量檢測等多種場合.
微變電容式傳感器應用實例
將微變電容式傳感器應用于邊境線布防或獄墻報警系統中時, 不需要對同軸電纜進行特殊的保護,只需進行偽裝. 將微變電容式傳感器的同軸電纜敏感器布設于獄墻內側的草叢中取得了較好的效果.微變電容式傳感器對天氣等環境條件不敏感, 克服了類似紅外對射等報警器的不足.
在為山東某監獄制作的獄墻報警系統中, 以定制的1000 m 同軸電纜(75Ω ,Φ5) 為敏感器件, 利用傳感器的低頻特性測量被測量, 通過高頻特性檢測電路完成警情發生位置的定位, 將高低頻特性相結合提高了報警的準確率.為了進一步保證布防的可靠性, 將5 個傳感器的同軸電纜相互間隔20 cm并行鋪設于獄墻內側, 組成獄墻報警系統.該系統的布防范圍為1.4 m ×1000.0 m.
提高低頻振蕩器的中心頻率是減小漏警率的有效手段, 同軸電纜越長, 分布參數越大, 低頻振蕩器的中心頻率越低.低頻振蕩器的中心頻率越高, 虛警率越高.試驗證明, 當同軸電纜(75Ω ,Φ5) 的長度為1000.0 m 時, 通過調整串入同軸電纜芯線的電感的大小, 可以使中心頻率在2~ 80 kHz 范圍內變化.為保證振蕩器的穩定性和檢測靈敏度, 選定f0≈20 kHz.在對利用微變電容式傳感器設計的獄墻報警系統進行驗收時, 在報警器布防的1.4 m ×1000.0 m 范圍內, 選取了10 個測量點作為試驗點.
實驗表明, 離傳感器的監測系統越遠, 定位絕對誤差越大, 但相對誤差越小. 最大相對誤差為6.0% , 出現在最近點.在遠端, 定位最大相對誤差為2.5% ,最大絕對誤差為24m .經1000 次模擬試驗, 該系統的誤警率小于0.3% , 漏警率小于0.2%.
結論
微變電容式傳感器以普通的同軸電纜為敏感元件, 具有檢測范圍大、性能穩定、靈敏度高和成本低等優點, 可廣泛應用于道路監控、邊境線布防與安全防范等多個領域. 該傳感器的設計可以在某種程度上滿足一些場合的特殊需要. 微變電容式傳感器的設計及實驗數據表明, 將該種傳感器引入安全防護領域是切實可行的.



