【導讀】感測元件用來將相關的物理量轉換成電信號。例如,惠斯通電橋可用來將壓力轉換成電輸出。許多感測元件本質上是非線性的。換句話講,它們的輸出與其正在測定的物理量不呈線性比例關系。由于相關物理量發生變化,輸出呈非線性變化。
傳感器信號調節器用來校正感測元件輸出的非線性特性。在這篇文章中,我們研究了兩種廣泛用于校正感測元件非線性的方法:1)查找表(LUT)或內插法; 2)多項式或曲線擬合。文中對這兩種方法做出了對比,并討論了兩種方法之間的折衷。
感測元件和傳感器信號調節器
傳感器或變送器包括感測元件和信號調節器。惠斯通電橋或熱線風速計等感測元件用于將諸如壓力或空氣質量流量的物理壓力分別轉換成電信號。而傳感器信號調節器用于處理感測元件輸出的非理想特性,并將信號發送到控制器。圖1所示為該生態系統的總體框圖。

圖1:顯示相關物理量(x)、感測元件輸出(y)和經過調節的傳感器輸出(z)的傳感器方框圖。
圖1中顯示所測的物理量為x,感測元件的輸出為y,而處理后的傳感器信號調節器輸出為z。傳感器信號調節器用于處理感測元件輸出的非線性、溫度變化和動態響應等非理想特性。本文中討論如何對感測元件輸出的非線性進行處理。
感測元件非線性
盡管感測元件的非線性具有不同形式,但在本文中我們將討論一種特定的非線性形式,即二階非線性,以便于我們理解如何使用傳感器信號調節器將輸出線性化。注意,這些概念可推廣到任意非線性。
如果某個感測元件的輸入和輸出具有如等式1所示的數學關系,則可以認為該感測元件具有二階非線性:

公式中:
- a = 感測元件偏移,其定義為所測物理量為其最小值時感測元件的輸出
- b = 感測元件跨度,其定義為測定最大和最小物理量時的感測元件輸出之差
- c = 感測元件二階非線性
- x = 所測物理量
- y = 感測元件的輸出,是x的函數
例如,考慮具有以下示例參數的非線性感測元件:
- x是介于0和1之間的值。即,物理量已歸一化,因此無單位
- a= 0
- b = 1
- c= 10%的滿刻度(FS),式中FS = b;換言之,感測元件具有10%的非線性。
在這種情況下,感測元件輸出與輸入的函數關系式如等式2所示。

圖2顯示了歸一化的輸入x從0變到1時的等式2曲線圖。從圖2的曲線圖可以推斷,x = 0.5時,感測元件的輸出為0.6。若感測元件的輸出完全呈線性,那么輸出將是0.5。也就是說,感測元件在中點具有10%的FS偏差。這是具有二階非線性的感測元件在輸出上出現的凸起。

圖2:非線性感測元件的輸出。請注意輸出線的凸起現象。
將感測元件輸出線性化
將感測元件輸出線性化的目標是將非直線線性化。在本文中,我們討論在傳感器信號調節器中使用的兩種常用方法。請注意,無論實現線性化的過程如何,這一討論都是有效的。使用PGA309中的模擬電路,或利用PGA900中的數字邏輯或固件都可以實現線性化過程。
使用LUT進行線性化
查找表(LUT)是所測輸入和輸出的表。在調節傳感器信號時,表中的輸入為感測元件在不同相關物理量條件下的輸出,且輸出為期望的線性輸出。根據LUT,對于特定的輸入值,輸出可在LUT中查找得到。
根據上一部分所述的感測元件示例,具有三個數據點的LUT可如表1所示:

表1:LUT用于感測元件非線性部分中所述的感測元件示例
根據表1中的LUT,若感測元件的輸出為0.6,則該傳感器信號調節器將查找LUT,得到的輸出將是0.5。若感測元件的輸出是0.5,且LUT沒有該值,會發生什么情況呢?在這種情況下,傳感器信號調節器通常采用線性內插法來以確定該傳感器信號調節器的輸出。
圖3顯示基于LUT線性化的信號調節器輸出;圖4顯示了相關物理量x和信號調節器輸出z之間的FS誤差百分比。圖4中顯示傳感器信號調節器將感測元件線性誤差從10% FS校正至3% FS。

圖3:使用LUT進行線性化。

圖4:通過使用LUT進行線性化的FS誤差百分比。
注意,可通過在LUT中選擇多個點進一步降低非線性誤差。
用多項式進行線性化
接下來我們考慮使用多項式進行線性化。具體來說,我們使用一個三系數多項式(類似于使用三點LUT)或等式3給出的二階多項式:

式中,h、g和n均為多項式系數;y是感測元件的輸出;而z是傳感器信號調節器的輸出。
考慮我們前面所述的感測元件示例。利用等式2,可以將等式3修改為等式4:

線性化的目標是消除信號調節器輸出對X2的依賴性。該目標可通過選擇多項式系數h、g和n實現,如此以來,可以消除所得的系數或將其變小。
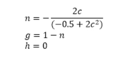
使用代數運算,減小X2所得系數的三個多項式系數可被估算為:

該傳感器信號調節器使用上述系數的值,并使用等式3計算線性化輸出。
圖5顯示了基于多項式線性化的信號調節器輸出,而圖6中顯示了相關物理量x和信號調節器輸出z之間的FS誤差百分比。圖6顯示傳感器信號調節器已將感測元件線性誤差從10% FS校正至1.5% FS。

圖5:利用多項式進行線性化。

圖6:通過使用多項化的線性化的FS誤差百分比。
注意,可通過在多項式中選擇多個系數或選擇更高階多項式,進一步降低非線性誤差。
實際問題
實際上,每個感測元件都具有獨特的非線性特性。正因如此,傳感器制造商在制造過程中會對每個傳感器進行校準。校準過程包括在LUT上確定點,或確定使用實際測量的多項式系數。具體來講,傳感器暴露于不同的相關物理量,并測定傳感器輸出。通過在此基礎上測得的數據,可以確定LUT數據點或多項式系數。目標精度決定LUT數據點的數量或多項式系數,反過來也可決定測量點數量。需要注意的是,測量點越多,校準的成本就越高,因此,傳感器的成本也越高。需要注意的是,可能需要進行多次測量才能達到更好的傳感器精度。
總結
本文討論了感測元件非線性的問題和兩種廣泛使用的感測元件輸出線性化方法。三系數多項式法獲得的精度比三點LUT法要高(圖4和圖6)。直觀上看,這是有可能的,因為感測元件的固有非線性是一個二階或更高階的多項式。另一種觀點認為,以多項式法進行線性化時,也能夠獲得類似的精度,且校準點更少,降低了產品成本。從另一方面講,以類似的產品成本可以獲得更高的精度。前提是假定傳感器信號調節器能夠實時進行多項式計算。
推薦閱讀:
示波器在直流無刷電機行業的應用案例解析
如何正確判斷無人機指向故障?讓電子羅盤遠離磁干擾
基于激光傳感器的無人駕駛汽車動態障礙物檢測跟蹤
傳感器在無人駕駛汽車道路識別上的應用
壓阻式壓力傳感器在汽車上的應用實例





